angler outfit osrs time
If you choose Rogue Outfit service you will get. PVT Cannon 12122019.
Osrs Fishing Trawler Guide Get Angler S Outfit Novammo
HttpswwwtwitchtvBoxTrapOSRSFollow me for Updates.

. Join W370 this is the official Fishing Trawler World. Do not do aerial fishing for angler its a waste of time. 8 rows The Spirit anglers outfit is an experience-boosting clothing set that grants 25.
Fishing trawler for Anglers. Learn how to easily get Angler Outfit at the Fishing TrawlerWatch me on Twitch. Is the angler outfit worth getting for the time it takes u to get it.
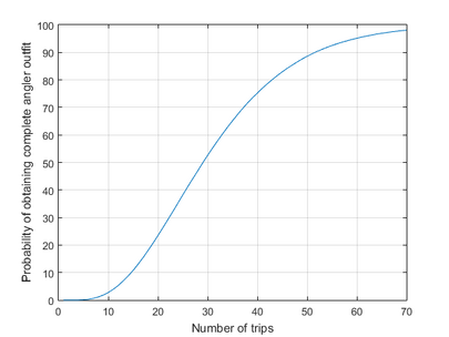
Took me roughly 15-20 hours. Barbarian Fishing Angler Outfit Is this in OSRS. 78 Votes in Poll.
I say yes but I want to say no at the same time its good to have the suit. What you will get in this Service. Rogue mask Rogue top Rogue trousers Rogue boots Rogue gloves.
It is only used for 1 master. Looking for quotes on full angler outfit and time frame. 07 Services 07 Services aims to provide a high quality experience whether that be purchasing gold.
I wanted to get it when I was working on a level 3 skiller but gave up after about 3 hours without getting a piece. The outfit in general is a waste of time unless you plan on alot of post 99 exp. Dont forget your swamp paste.
Heres how you can get the anglers Outfit as fast as possible. Was more of a grind than I expected. Pm me on here or reply to post.
Donars or trusted only. I recommend at least 500.
Osrs Full Spirit Angler S Outfit Tempoross Reward Youtube
Get Xp Boosting Sets Oldschool Runescape Tips Tricks
Suggestion Kylie Minnow S Fishing Outfit R 2007scape
Kettle Kush Commander Crazy Twitter
Osrs Tips Tricks Episode 8 Master Oldschool Runescape
Osrs Fishing Trawler Guide Easy Angler Outfit Guide Youtube
Osrs Fishing Trawler Guide Easy Angler Outfit Guide Youtube
Osrs Spirit Flakes Locations What They Do Best Uses Fandomspot
Osrs Fishing Trawler Guide How To Get Anglers Outfit Osrs Guide
Advanced Angler Outfit Reward From Aerial Fishing R 2007scape
Osrs Fishing Trawler Guide How To Get Angler S Outfit Youtube
1 To 99 Osrs Fishing Guide For 2022 Ez Rs Gold
3 Osrs Afk Money Making Skills That Save You Time
Angler S Outfit Old School Runescape Wiki Fandom
Osrs Fishing Trawler Guide Get Angler S Outfit Novammo
Update Angler S Outfit Slayer Old School Runescape Wiki Fandom
Osrs Fishing Trawler Guide Get Angler S Outfit Novammo